相关试卷
-
1、 “三废”的科学治理是环境保护和资源循环利用的重要举措。某含砷烟尘主要成分为和等。一种脱砷并回收、铜和锌的流程如下:

已知:
①微溶于冷水,易溶于热水;
②“氧化酸浸”中,金属硫化物转化成硫酸盐,难溶于热水的Pb5(AsO4)3Cl转化成H3AsO4;
③萃取时,将萃取剂HL溶于磺化煤油中,所得溶液作为有机相,萃取和反萃取原理为 , 式中为或。
回答下列问题:
(1)、“水浸”时,采用热水的目的是。(2)、“氧化酸浸”时,CuS发生反应的离子方程式为 , Pb5(AsO4)3Cl与硫酸反应的化学方程式为。(3)、铜萃取剂(
)中的N、酚羟基O均与Cu2+配位,形成配合物CuL2。该配合物中Cu2+的配位数为 , 分子结构中设计正壬基的作用是。“反萃取铜”后,“富铜液”为相(填“水”或“有机”)。 (4)、“沉砷”时,采用生石灰处理,滤渣主要成分的化学式为。(5)、“反萃取锌”时,试剂X为。 -
2、 纳米可用于光电催化。某实验小组以钛酸四丁酯[代表正丁基;液体]为钛源,采用以下方法制备粒径小于的(反应装置如图,夹持等装置略)。

Ⅰ.在三颈烧瓶中加入二缩三乙二醇、少量表面活性剂,搅拌均匀后,采用合适方式加入和氨水。
Ⅱ.回流反应 , 冷却至室温,得到溶胶。
Ⅲ.向Ⅱ所得溶胶中加入蒸馏水,得到纳米粒子聚集体,离心分离后,沉淀经洗涤、干燥,得粉末。
回答下列问题:
(1)、仪器a名称为 , 反应溶剂为 , 加热方式为。反应结束时,应先停止(填“加热”或“通冷凝水”)。(2)、水解较快时,难以形成小尺寸的纳米。下列操作方式能降低水解速率的有____(填标号)。A、依次缓慢滴加和氨水 B、依次倒入和氨水 C、和氨水混合后缓慢滴加(3)、检验步骤Ⅱ所得溶胶属于胶体的实验操作与现象为。(4)、离心分离可将沉淀紧密聚集在离心管底部(如图所示)。将离心后的沉淀和清液分开的方法是。
(5)、本实验的产率为(保留2位有效数字)。(6)、为了测定的晶体结构,通常使用的仪器是。 -
3、 常温下,和的沉淀溶解平衡曲线如图所示。纵坐标中M代表或 , 物质的溶解度以物质的量浓度表示。下列说法正确的是( )
A、a点有沉淀生成,无沉淀生成 B、表示在纯水中溶解度的点在线段之间 C、向悬浊液中滴加溶液、向悬浊液中滴加溶液,分别至c点时,和的溶解度均为 D、时,饱和溶液中 -
4、 为了从海水中提取锂,某团队设计了图示的电解池。保持电源正负极不变,每运行一段时间后,将电极1与4取下互换,电极2与3取下互换,实现锂的富集。下列说法正确的是( )
A、电路中电子的流向随着电极互换而改变 B、电极2上发生的反应为: C、理论上,电极1与电极4的质量之和保持不变 D、理论上,电路通过电子时,有富集在右侧电解液中 -
5、 化合物M是一种新型抗生素关键中间体的类似物,其合成路线如下(略去部分试剂和反应条件)。已知化合物K虚线圈内所有原子共平面。下列说法错误的是( )
A、Q的化学名称为2-甲基-1-丙醇 B、在酸性条件下,M可水解生成CO2 C、K中氮原子的杂化方式为sp2 D、形成M时,氮原子与L中碳原子a成键 -
6、 科研人员在高温高压条件下合成了类金刚石结构的硼碳氮化合物,其晶胞结构如图所示,立方晶胞参数为。是阿伏加德罗常数的值。下列说法错误的是( )
A、该化合物为共价晶体,硬度大 B、晶体中与B原子距离最近且相等的B原子数为4 C、晶胞中键与键的数目比为 D、晶体的密度 -
7、 某团队合成了一种铁掺杂二氧化钛的新型催化剂,用于转化为单质S,提出的催化历程示意图如下。是阿伏加德罗常数的值。下列说法正确的是( )
A、使转化成 , 恢复催化剂活性 B、过程①和④均发生了非极性键的断裂 C、过程②和③均发生了氧化还原反应 D、理论上,每转化 , 转移的电子数目为 -
8、 下列名组离子在水溶液中可以大量共存的是( )A、 B、 C、 D、
-
9、 一种新型微孔材料由X、Y、Z三种短周期元素组成。X、Y的质子数之和等于Z的质子数,X与Y同周期,X的第一电离能比同周期相邻两原子小,基态Y原子s能级上的电子总数与p能级上的电子总数相等。下列说法正确的是( )A、原子半径: B、X的最高价氧化物对应的水化物是一种强酸 C、Y的氢化物既具有氧化性又具有还原性 D、Z的氯化物属于离子化合物
-
10、 已知在强碱溶液中可被氧化为。某实验小组使用和的固体混合物,按照下图步骤依次操作,制备固体。各步骤中装置和原理不能达到相应实验目的的是( )


A.分离固体混合物
B.制取Cl2


C.氧化K2MnO4
D.得到KMnO4固体
A、A B、B C、C D、D -
11、 物质结构决定性质。下列物质性质差异与结构因素没有关联的是( )
选项
性质差异
结构因素
A
极性:
分子空间构型
B
酸性:二氯乙酸<二氟乙酸
分子间氢键
C
熔点:
晶体类型
D
识别K+的能力:18-冠-6>12-冠-4
冠醚空腔直径
A、A B、B C、C D、D -
12、 一定温度下,恒容密闭容器中,物质Z发生反应 , 一段时间后开始计时,测得各物质的浓度随时间变化如图所示。下列说法正确的是( )
A、曲线Ⅰ代表物质X,曲线Ⅲ代表物质Z B、图中时刻的正反应速率大于时刻 C、若升高温度,正反应速率加快,逆反应速率减慢 D、 , 用物质Y表示的平均反应速率为 -
13、 下列物质在一定条件下的转化关系如图所示。E、G、Q、R均为气体,其中R为红棕色。下列说法正确的是( )
A、E、G、Q、R、T所含同种元素化合价依次升高 B、E的水溶液能导电,所以E是电解质 C、Q和E可用排水法收集 D、铜与不同浓度的T溶液反应均可生成Q -
14、 规范操作是实验安全的保障,下列做法错误的是( )A、不能用手直接接触试剂,以免危害健康和污染试剂 B、使用浓硝酸等挥发性试剂时在通风橱中操作 C、金属钠着火,迅速用湿抹布覆盖灭火 D、点燃可燃性气体前,需要验纯
-
15、 下列化学用语表示正确的是( )A、氯化氢的电子式:
B、和的模型均为:
C、基态原子价层电子的轨道表示式:
D、中子数为20的氯原子的核素符号:
-
16、 化学学科在创新中不断前进,下列说法错误的是( )A、伏打研制了第一个化学电源,该装置实现了电能到化学能的转化 B、鲍林提出了甲烷的正四面体结构 C、侯德榜改进了索尔维制碱法,侯氏制碱法经济环保 D、神舟十九号载人飞船使用了国产耐烧蚀树脂,该树脂为高分子材料
-
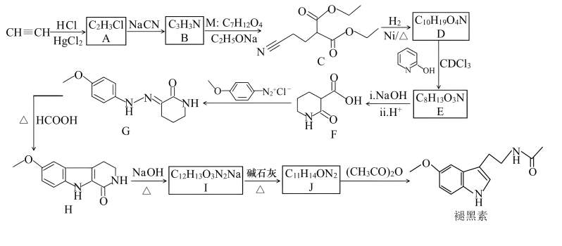
17、 化合物K具有镇痛作用,以下为其合成路线之一(部分反应条件已简化)。

已知:

回答下列问题:
(1)、B的结构简式为。(2)、由C生成D的反应类型为。(3)、E的结构简式为;吡啶具有弱碱性,由D生成E的反应中吡啶的作用是。(4)、由F生成G的化学方程式为。(5)、H中含氧官能团的名称是。(6)、在F的同分异构体中,同时满足下列条件的共有种(不考虑立体异构);①含有苯环;②能发生银镜反应;③不含甲基。
其中,核磁共振氢谱显示为四组峰,且峰面积比为的同分异构体的结构简式为(写出一种即可)。
-
18、 硅是电子工业中应用最为广泛的半导体材料,少量磷的掺入可提高硅的导电性能。Zn高温还原(沸点27.6℃)是生产多晶硅的一种方法。回答下列问题:(1)、基态Zn原子的价电子排布式为 , 晶体的类型为。(2)、化合物的结构如图1所示,中F-P-F键角略大于分子中的F-P-F键角,原因是。
(3)、Si、P和Zn三种元素组成化合物的晶胞如图2所示(晶胞参数),若将M点Si原子作为晶胞顶点,则N点Si原子在晶胞中的位置为(填“面心”“棱中点”或“体心”)。
(4)、在Zn还原的过程中会生成副产物 , 抑制生成可以增加Si产量并降低生产能耗。该过程存在如下主要化学反应:反应Ⅰ:
反应Ⅱ:
反应Ⅲ:
①。
②在总压分别为、和下,反应达平衡时:物质的量与初始物质的量的比值x随温度变化如图3所示。图中压强由大到小顺序为 , 判断的依据是。在一定温度、180kPa条件下,体系中初始:和分别为1mol和4mol,假设此条件下生成的忽略不计,恒压反应4min时,分压变为20kPa,0~4min内用分压表示的平均反应速率为 , 此时可生成硅g。

-
19、 某实验小组利用EDTA标准溶液滴定 , 从而间接测定混合溶液中和的总浓度。已知EDTA与按物质的量之比反应。
主要实验步骤如下:
Ⅰ.如下图所示,取混合溶液于①中,在搅拌下滴加NaOH溶液,调pH至11,然后准确加入溶液(过量),搅拌下水浴加热至60℃并保持5min,冷却至室温。过滤、洗涤,合并滤液和洗涤液,在250mL容量瓶中定容。

Ⅱ.取25.00mL步骤Ⅰ配制的溶液于锥形瓶中,加入一定量蒸馏水,用NaOH溶液调pH在12~13之间,再滴加4~5滴钙指示剂。用标准溶液滴定至终点,平行测定三次。消耗EDTA溶液平均体积为。
回答下列问题:
(1)、仪器①的名称是;②的名称是。(2)、步骤Ⅰ中,若不慎将NaOH溶液沾到皮肤上,应对措施是。(3)、步骤Ⅰ中,调pH至11的目的是;加入的溶液需过量的原因是。(4)、步骤Ⅰ中,采用水浴加热方式的优点是。(5)、步骤Ⅱ滴定接近终点时,使滴定管尖嘴处悬垂的半滴标准溶液加入到锥形瓶中的操作是。(6)、混合溶液中,和的总浓度(写出计算式)。 -
20、 一种利用钛白粉副产品[主要成分为 , 含有少量等]和农药盐渣(主要成分为等)制备电池级磷酸铁的工艺流程如下。

一定条件下,一些金属氟化物的如下表。
氟化物
回答下列问题:
(1)、“除钛”中产生的少量气体是(填化学式);铁粉的作用之一是提高体系的pH,使得水解以沉淀形式除去,其另一个作用是。(2)、“除杂1”中除去的离子是(填化学式)。(3)、“氧化1”中若加入速度过快,会导致用量增大,原因是。本步骤不能使用稀盐酸代替溶液,原因是。(4)、滤渣3的主要成分是 , 生成该物质的离子方程式为。(5)、“氧化2”的目的是减少气体的排放(填化学式)。(6)、“沉铁”中如果体系酸性过强,会导致产量降低,原因
。