相关试卷
-
1、某学习小组比较氧气的两种制法并探究反应产物,实验装置和数据记录如下:

注:实验中,棉花均未发生变化,水槽中为蒸馏水。
实验序号
反应前
充分反应后
耗时
m(试剂)
m(试管)
m(试管+固体)
I
7.90g KMnO4
II
12.25g KClO3+4.00g MnO2
回答下列问题:
(1)、试管口棉花的作用是。(2)、实验I中的气体产物只有 , 生成的化学方程式为 , 内生成的化学反应速率。(3)、该小组同学发现实验Ⅱ制备的气体有刺激性气味。取出导气管,用湿润的淀粉试纸检验实验II中加热后产生的气体,试纸先变蓝,后褪色。①甲同学推测实验Ⅱ产生的气体中含有少量。验证方法:将氯气通入淀粉溶液,观察到溶液先变蓝,后褪色。“先变蓝”反应的离子方程式为 , 简述“后褪色”的原因可能是。
②乙同学查阅资料,是具有刺激性气味的气体。乙同学认为,甲同学的方法不能说明实验II产生的气体中含有 , 理由是。
(4)、与实验Ⅱ制备氧气相比,实验Ⅰ制备氧气的优点是(答一条)。 -
2、常温下,将某二元弱酸的难溶盐固体溶于不同初始浓度的盐酸中(无气体生成),平衡时部分组分的与的关系如图所示。已知: , , 溶液中与不反应。

下列说法错误的是
A、曲线I表示与的关系 B、的沉淀溶解平衡常数的数量级为 C、时,溶液的 D、任意下均有: -
3、物质甲的质谱、红外光谱、核磁共振氢谱图分别如图1、2、3所示。下列关于物质甲的说法正确的是
A、甲的相对分子质量为89 B、甲中含有醛基 C、甲中的碳元素没有还原性 D、甲与乙二醇反应可生成酯 -
4、甲、乙两组同学在铁片上镀铜的实验装置如图所示。下列说法正确的是
A、两组电镀装置中铜片都是与直流电源的负极相连 B、甲、乙实验的阴极反应分别为和 C、甲、乙两组实验结束后,甲组所得镀件的镀层更光亮 D、电镀前铁片用热的纯碱溶液洗涤,目的是除去表面的铁锈 -
5、一种硫化锌的立方晶胞结构如图所示,晶胞边长为αnm,设NA为阿伏加德罗常数的值,下列说法错误的是
A、S2-的配位数是4 B、晶胞中m原子分数坐标为( , , ) C、相邻两个Zn2+的最短距离为αnm D、该晶体的密度 -
6、W、X、Y、Z为原子序数依次增大的同一短周期元素,它们的电子填充的能层均无d轨道,其中基态W原子无未成对电子,X、Y、Z相邻。氢(H)元素和这4种元素形成的一种配合物的结构如图所示。

下列说法正确的是
A、W元素位于元素周期表的区 B、基态原子的未成对电子数: C、该配合物中杂化的原子个数为 D、不能形成分子内氢键: -
7、下列实验装置能达到相应实验目的的是


A.配制100 mL0.5 mol/L盐酸
B.比较N、C、Si的非金属性强弱


C.萃取碘水中的碘
D.测定醋酸溶液的浓度
A、A B、B C、C D、D -
8、2-苯基丙烯和2-苯基丙烷存在如图所示转化关系:

下列说法正确的是
A、这两种烃均易溶于水 B、这两种烃均可以被氢气还原 C、这两种烃均可以与溴水发生加成反应 D、2-苯基丙烷分子中所有碳原子可以共平面 -
9、氮和氯的单质及其化合物的转化关系如图所示,设表示阿伏加德罗常数的值,下列说法正确的是
A、反应①中被还原,生成分子数为 B、反应②中每生成 , 转移电子数为 C、常温常压下,中含有质子数为 D、溶液中,含有数为 -
10、下列离子方程式书写错误的是A、工业盐酸中含有少量氯化铁而呈亮黄色:Fe3++4Cl-[FeCl4]- (亮黄色) B、向烧碱溶液中滴加少量明矾溶液并振荡:Al3++4OH-=[Al(OH)4]- C、向胆矾溶液中滴加少量氨水: D、用亚铜氨溶液吸收合成氨原料气中的CO:[Cu(NH3)2]++CO+NH3 [Cu(NH3)3CO]+
-
11、宏观与微观相结合的图片可以提高学生的洞察力。下列对宏微结合图的解释错误的是
选项
A
B
宏微结合图


解释
固体中与紧邻的最多有4个
液态水与固体界面的箭头表示相互吸引
选项
C
D
宏微结合图


解释
固体中的和不能自由移动,水合和水合可以自由移动
熔融的可以导电
A、A B、B C、C D、D -
12、下列化学用语错误的是A、的电子式:
B、的VSEPR模型:
C、键线式为
的物质的名称:2,2,4-三甲基戊烷
D、轨道的电子云轮廓图:
-
13、劳动有利于“知行合一”。下列对劳动项目的有关解释合理的是A、船厂研学:轮船船体镶嵌镁合金,只与镁的导电性有关 B、农业劳动:石膏改良盐碱土壤,与硫酸钙溶液显酸性有关 C、水厂帮工:明矾净化生活用水,与明矾具有氧化性有关 D、医疗服务:用苯酚水溶液进行环境消毒,与苯酚水溶液能使蛋白质变性等有关
-
14、2024年诺贝尔化学奖授予三名科学家,以表彰他们在蛋白质设计和蛋白质结构预测领域作出的贡献。蛋白质水解的最终产物是A、单糖 B、甘油 C、氨基酸 D、多肽
-
15、苦水玫瑰用途广泛,素有“金花”之美誉。从苦水玫瑰中提炼的玫瑰精油,堪称液体黄金,是制作香水等化妆品的原料。玫瑰精油成分之一的结构简式如图,下列说法正确的是
A、该分子含2个手性碳原子 B、该分子所有碳原子共平面 C、在铜催化下,分子中羟基可被氧化为羰基 D、该物质发生消去反应可得3种有机产物 -
16、漆树酸(化合物g)可治疗十二指肠溃疡,由化合物a、b经三步反应合成化合物g的过程如下(反应条件和部分产物略)。
(1)、化合物a的官能团名称是 , 化合物b的名称是。(2)、下列说法正确的是___________。A、化合物d是1,3-丁二烯的同系物 B、化合物a和b中,碳原子的杂化方式均为 C、a可与水形成分子间氢键,在水中的溶解度大于d D、c与d反应生成e的过程,存在键的断裂和形成(3)、化合物e可在酸性和碱性条件下水解。①e在盐酸作用下水解的化学方程式为。
②e一步反应生成g,则e→g的反应类型是。
③h是e的同分异构体,测得h分子中含氨基和四个甲基,遇发生显色反应,h可能的结构有种。
④c与d反应,生成e和生成副产物f的反应类型相同,f与e是同分异构体,f的结构简式为。
(4)、参考的反应,以丙酮和化合物b为有机原料合成化合物i,无机试剂任选。基于你设计的合成路线,回答下列问题:
①第一步反应中,有机生成物核磁共振氢谱的吸收峰面积比为。
②最后一步反应的化学方程式为。
-
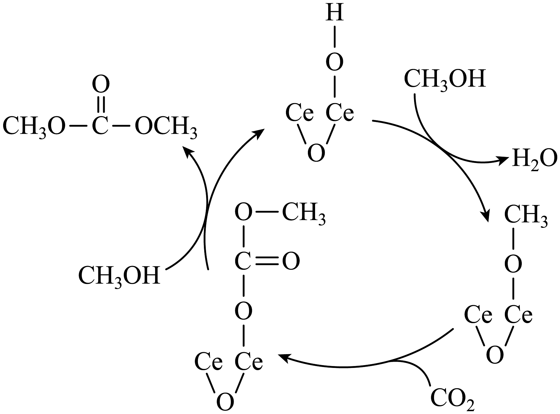
17、可应用于电子工业,也是一种温室气体。(1)、催化分解法或热分解法可消除。
反应I:
①基态N原子的价层电子排布式为。
②反应I在任意温度可自发进行,则0(填“>”“<”或“=”)。
③一种催化剂催化分解工业尾气 , 发生以下反应:
根据盖斯定律,反应I的。
④热分解法进行反应I经过两步基元反应:
第一步:(慢反应)
第二步:(快反应)
已知:基元反应的反应速率方程可表示为 , k为速率常数,总反应速率方程由慢反应决定。
则反应I的正反应速率可表示为 , 。
(2)、加热可制。反应II: 。
向恒容密闭容器中加入1mol , 控制在一定温度下加热至压强不再变化(实验温度下仅发生反应Ⅱ),测。不同温度下测得如图1,其中一定处于平衡状态的是(填“A”或“B”)状态。该状态时的分压为 , 则分压平衡常数(用含p的代数式表示)。
(3)、向2L恒容密闭容器中加入1mol , 一定条件下恒温加热,同时发生反应Ⅱ和反应Ⅰ,容器内随时间变化的关系如图2,2min时恰好达到平衡,的转化率恰好为50%。
① , 增大可能原因是反应I的速率(填“>”“<”或“=”)反应II。
②反应开始前2min,(写出计算过程)。
-
18、电解法冶炼锰产生的复合硫酸盐[含、、和]可回收高价值产品,工艺流程如图所示。

已知:浸出液沉淀最佳条件下,。
(1)、电解冶炼锰装置如图1所示,氨性缓冲溶液调溶液为中性,用铅镁合金和Mn作电极,其中阳极材料为。
(2)、提高“浸出”速率的措施有(任写一种)。“滤饼”的主要成分是(填化学式)。(3)、“沉锰”中,生成所发生反应的离子方程式为。(4)、“沉锰”中,少量会生成沉淀,温度和pH对沉淀率的影响如图2所示:
①“沉锰”合适的温度和pH分别为 , 此时(填“>”“<”或“=”)。
②高于45℃时,温度升高,沉淀率发生变化的原因是。
(5)、某含Mg、Mn和O三种元素组成化合物的立方晶胞如图3所示。同种位置原子相同,相邻原子间的最近距离之比 , 则晶体中Mn的化合价为 , 与Mg原子最近且距离相等的原子的数目为。
(6)、晶体煅烧产生的通入氨水,制得可应用于流程中的化合物是。 -
19、认识酸的强弱对理解酸反应规律有意义,兴趣小组开展相关研究。(1)、利用下图装置制备和及研究相应酸的强弱。
实验现象:A处变蓝,Ⅰ处变浑浊,Ⅱ处变浅但不褪色,Ⅲ处无浑浊。

①仪器m的名称是 , 木炭粉与浓硫酸反应的化学方程式为。
②检验尾气中有的试剂是。
③试管Ⅲ无沉淀,从酸性强弱角度分析原因是。
(2)、研究试管Ⅰ中产生浑浊的原因。①甲猜想生成 , 取混合物过滤,所得固体加入 , 固体完全溶解,猜想不合理。
②乙猜想生成 , 进行以下探究:
查阅资料:常温下,、
实验设计将浓度均为0.40 mol/L的H2SO3、BaCl2溶液等体积混合,若的浓度为 , a与满足关系,可产生BaSO3沉淀。
实验验证将0.40 mol/L H2SO3溶液与H2O等体积混合,若混合前后浓度几乎不变,则约为mol/L,代入关系式,证明猜想合理。
(3)、研究 H2SO3、H2CO3与HClO的酸性强弱。①将CO2通入NaClO溶液,产生酸性比H2CO3弱且有漂白性的HClO。
②丙同学参考①的方法,按下表进行实验比较H2SO3与HClO的酸性。
实验过程将各试剂混合,滴加石蕊试剂,测褪色时间(试剂浓度均为0.10)。
试剂
石蕊试液/滴
褪色时间/s
实验ⅰ
30.00
0.00
5.00
3
75
实验ⅱ
30.00
x
1.00
3
8
根据表中信息,补充数据,x=mL。
得出结论 酸性:H2SO3>HClO。
实验讨论 丁同学认为丙同学的实验不能得出相应结论,因会氧化H2SO3: , H2SO4与NaClO反应生成了HClO。基于丙的设计,完善方案,设计实验证明酸性:H2SO3>HClO (简述实验过程和现象)。
-
20、以离子液体作为电解液的铝电池,工作原理如图所示。下列推断正确的是
A、放电时,正极Al的化合价降低 B、充电时,离子向N极移动 C、充电时,电路转移3mol电子,N极减少27g D、放电时,N极反应: