2025年秋-沪粤版初中物理九年级上册期中统一联合考试(基础卷)

试卷更新日期:2025-10-09 类型:期中考试

一、单选题(共15题,每小题2分,共30分)

  • 1. 如图甲所示,物体在10N的水平拉力F的作用下,沿水平地面向右做直线运动.固定于地面的传感器发出的超声波遇到运动的物体被反射回传感器,传感器通过计算机显示出物体在水平方向通过的距离随时间变化的s-t图像,如图乙所示,下列说法正确的是 (  )

    A、物体做加速运动 B、0~15s内拉力做的功为300J C、传感器相对于物体是静止的 D、物体受到的摩擦力小于 10N
  • 2. 下列估测符合实际的是
    A、中学生正常步行速度约为5km/h B、一枚一元硬币的质量约为6mg C、教室内一盏日光灯额定功率约为400W D、中学生从一楼走到三楼做功约为300J
  • 3. 下列关于“功”和“功率”的说法中,正确的是(  )
    A、机器的功率越大,做的功越多 B、功率不同的机器,做的功可能相等 C、机器做功的时间越少,功率就越大 D、甲做功比乙做功慢,则甲做的功比乙做的功少
  • 4. 如图所示,用滑轮组提升重为900N的物体A,滑轮组绳子自由端在拉力F作用下竖直匀速移动了12m,同附物体A被竖直匀速提升了4m,用时40s,滑轮组的额外功是400J,下列说法中正确的是(  )

    A、动滑轮所受的重力为100N B、滑轮组的机械效率是90% C、拉力F的功率是90W D、物体A上升的速度是0.3m/s
  • 5. 运动员郑钦文在巴黎奥运会上为我国赢得了首枚奥运网球单打项目金牌.某次发球,她在。点将球击出,击球后网球运动的频闪照片如图所示,球触地弹起后运动的最高点为c,触地过程中有一部分机械能转化成了内能,6点与c点等高,则

    A、网球在b点的动能为零 B、网球在b点的机械能等于在c点的机械能 C、网球在b点的动能大于在c点的动能 D、网球由b点运动到c点,减小的重力势能全部转化为动能
  • 6. 如图所示是西汉时期的熊足青铜鼎。在鼎内装较多水。盖上厚实的鼎盖,闭合锁扣,在鼎下堆放干柴燃烧。当鼎外为1个标准大气压时,鼎内的水竟然在120℃沸腾。下列说法正确的是(   )

    A、干柴燃烧烧水是通过做功的方式改变水的内能 B、水沸腾时产生的“白雾”是汽化现象 C、鼎内水沸腾时,温度升高, 内能增大 D、鼎内水的沸点高于100℃,说明鼎内的气压高于1个标准大气压
  • 7. 春节期间,小明和妈妈一起为家人准备年夜饭,既向父母表达了养育之恩,也让小明由烹调知识联想到了物理知识,其中认识正确的是(     )
    A、汤的香气扑鼻,说明分子在不停地做无规则运动 B、炒菜主要是通过做功的方式使菜的内能增加 C、凉拌食物与配料要搅拌才更容易入味,说明分子没有做无规则运动 D、煎锅一般用铁制造,主要是利用了铁的比热容较大
  • 8. 关于温度、热量和内能,下列说法正确的是(  )
    A、一块0℃的冰块,它的内能为零 B、温度高的物体含有的热量一定多 C、热胀冷缩中的“冷热”是指内能 D、物体的温度越高,分子的无规则运动越剧烈
  • 9. 将带正电的玻璃棒靠近泡沫球,出现如图所示的情形。若改用带负电的橡胶棒靠近这个泡沫球,下列推断正确的是(     )

    A、若相互吸引,则泡沫球带正电 B、若相互吸引,则泡沫球不带电 C、若相互排斥,则泡沫球带正电 D、若相互排斥,则泡沫球不带电
  • 10. 下列属于用电器的是(  )
    A、杠杆 B、滑轮 C、电饭锅 D、汽车
  • 11. 物理学中经常看到形如x=yz的公式,一种情况是x的大小与y、z都有关,另一种情况是x虽然可由y、z计算,但与y、z无关。下列四个公式中,属于前一种情况的是
    A、物质的密度ρ=mv B、导体中的电流=UR C、物质的比热容c=Qm(t2-t1) D、燃料的热值q=Qm
  • 12. 如图所示是小敏同学在探究串、并联电路中电流关系实验时的电路,闭合开关S后,电流表A的示数为0.6 A,电流表A1的示数为0.4 A,下列说法正确的是(  )

    A、L1与L2串联 B、开关S只控制L1 C、通过L1、L2的电流分别是0.2A、0.4 A D、通过L1、L2的电流分别是0.4A、0.2 A
  • 13. 在用电压表测某用电器两端的电压时,若选用0~3V 的量程,测得的电压值为2.2V;若使用0~15V量程,测得的电压值为2.0V,那么该用电器两端电压的大小应是(    ).
    A、2.2V B、2.0V C、2.1V D、无法确定
  • 14. 如图甲所示电路,闭合开关S,电流表和电压表的示数如图乙和丙所示,下列分析正确的是

    A、灯L与电阻R串联 B、电路的总电阻大于电阻R的阻值 C、通过电阻R的电流是0.40A D、电源两端的电压为3.0V
  • 15. 当用一个电压表直接测量某一电源的电压时,其读数为6V.若给这个电压表串联一个200Ω的电阻后,再去测量同一电源的电压,其读数为5V.则这个电压表本身的电阻是( ).
    A、1200Ω B、1000Ω C、800Ω D、600Ω

二、填空与作图(共10题,填空题每空1分,作图题每小问1分,共27分)

  • 16. 扫地机器人吸尘时,电机高速转动使吸尘口内部空气流速大,内部压强比外界压强(选填“小”或“大”),从而将垃圾吸入。机器人沿水平路面清扫的过程中,机器人所受重力(选填“做了功”或“没有做功”)。
  • 17.  无人机送快递为市民的生活带来了极大的便利。在某次取货途中,无人机载着空货箱竖直匀速上升36m用时30s。不计空气阻力,g取10N/kg。
    (1)、无人机上升时,以地面为参照物,它是的;
    (2)、无人机竖直匀速上升时的速度为m/s;
    (3)、在取货点,工作人员将快递放入货箱,无人机再次升空,竖直匀速上升30m用时30s。已知无人机配备的货箱质量为1kg,取货前后两次匀速升空过程中无人机对货箱拉力做功的功率之比为1∶2,放入货箱的快递质量为kg。
  • 18. 如图所示,用定滑轮匀速提升重为90N的木箱,拉力大小为100N,绳端向下移动的距离为2m。则木箱上升的高度为m,木箱的机械能变 , 定滑轮的机械效率为

  • 19. 如图所示,将弹簧、小车置于水平木板面上,被压缩后的弹簧将小车弹出,这一过程中,弹簧的弹性势能转化为小车的能.实验表明,弹簧被压缩得越短,小车被弹开的距离越远,这说明,弹簧的弹性形变越大,弹性势能越.小车在水平木板上运动时,所受重力对小车(选填“做功”或“不做功”)。

  • 20. 夏季,车内不要存放打火机、空气清新喷剂等物品,原因是:长时间暴晒,通过(填改变内能的途径)增加液体、气体的内能,温度升高,易引发自燃或爆炸;也不要将装水的透明塑料瓶、玻璃杯等物品放在车内阳光照射处,原因是:其相当于透镜,易引发火灾。
  • 21. 载人飞船随火箭发射升空时,以为参照物,载人飞船是运动的;升空过程,载人飞船的重力势能(选填“变大”、“变小”或“不变”);火箭常用氢作为燃料,是因为氢的(选填“热值”或“密度”)大。
  • 22. 完全燃烧0.1m3的天然气放出的热量是J;若这些热量的20%4kg的液体吸收,使其温度升高50 , 则该液体的比热容是J/(kg)(q=3.0×107J/m3)
  • 23. 如图,小朋友沿塑料滑梯滑下,长发竖起散开,这是现象,头发散开的原因是;同时由于摩擦生热,臀部发烫,这是通过方式改变物体内能

  • 24. 我国家用照明电路的电压为伏,家庭中各用电器之间是连接的(选填“串联”或“并联”),对人体的安全电压为不高于V。
  • 25.
    (1)、 用如图的滑轮组使重物升高1m时,自由端可移动3m的距离。画出该滑轮组的绕绳方式。

    (2)、 汽车静止在水面路面上,请在图中画出汽车所受重力和支持力F的示意图。

    (3)、如题图甲所示,小球沿光滑的圆弧轨道AB滑下,滑上与海平面齐平的粗糙水平轨道MN,最终停在C点,在题图乙中画出小球从O点运动到C点的过程中的“机械能--时间”的大致图像。

三、实验与探究(共4题,共23分)

  • 26. 按要求完成下列实验题;

    (1)、小红利用如图甲所示器材进行“探究二力平衡的条件”的实验。实验中选择小卡片的目的是小卡片的重力(选填“考虑”或“不考虑”)对实验的影响;在左右两侧细线挂上相等个数的钩码,将小卡片旋转一定角度,松手后小卡片保持静止(选填“能”或“不能”);
    (2)、小明探究动能大小与质量、速度的关系,实验过程如图乙,其中h1<h2 , mA<mB。实验中小明通过观察来比较动能大小;对比乙中的图1、2所得的实验结论,可以解释汽车(选填“超载”或“超速”)行驶时危险性大的原因;
    (3)、图丙是小明“研究定滑轮和动滑轮的特点”的实验,使用滑轮可以省力;利用动滑轮提升物体时,增加悬挂钩码的个数,匀速竖直向上提升弹簧测力计,动滑轮的机械效率会(选填“变大”“变小”或“不变”)。
  • 27. 小华在家中烧水时有个疑问:水吸收的热量与什么因素有关呢?她猜想:水吸收的热量与水的质量和升高的温度有关。为了探究其中的关系,她借助一个电热水壶进行实验。
    (1)、水吸收的热量无法直接测量,实验中用加热时间t表示,因为水吸收的热量Q与加热时间t
    (2)、 在探究水吸收的热量与水升高的温度之间的关系时,小华量取0.8kg水,用电热水壶加热,每隔1min测量一次水的温度。测得数据如下表所示。请在坐标图中画出水的温度随加热时间变化的图像。

    加热时间/min012345
    温度/℃203040506070
    (3)、在探究水吸收的热量Q与水的质量m之间的关系时,应控制水相同,量取不同质量的水,分别用电热水壶加热,记录加热时间。小华进行实验并根据数据得出Qm之间的关系。
    (4)、小华总结实验结论:水吸收的热量与水的质量和升高的温度成正比,即Q=kmΔt。如果想要测出比例系数k的值,她还需要做什么?
  • 28. 小雅和同学进行“探究串联电路电压规律”的实验。所用器材有:电压恒为3 V的电源,一个开关,两只灯泡(L1和L2),两只相同电压表V1和V2(量程均为0~3 V和0~15 V),导线若干。

    (1)、他们按如图甲所示的电路图连接电路,用一只电压表分别测AB、BC、AC间的电压。每次拆接电压表时,开关应处于状态。 
    (2)、为测量L1两端电压,请在图乙中用笔画线代替导线将实物图连接完整。)
    (3)、具有创新精神的小雅决定改进实验。她按照如图丙所示电路图连接好电路,闭合开关,发现电压表 V1和 V2的指针偏转角度相同,则可能的原因是电压表(选填“V1”或“V2”)的量程较大,此时电压表V1和V2的示数分别为V和V。 
    (4)、解决问题后,小雅同学测出了AB间和AC间的电压,为了测量BC间的电压,断开开关,接下来可以____。 
    A、保持B接线不动,将电压表V1连线由A改接到C B、保持C接线不动,将电压表V2连线由A改接到B
    (5)、为了得到更普遍的规律,下列操作最合理的是____。 分析AB、BC、AC间的电压关系,得出结论:在串联电路中,各部分电路电压之和等于总电压。
    A、将灯泡L1和L2互换位置进行多次测量 B、换用不同规格的灯泡进行多次测量
  • 29. 为了"探究串联电路中用电器两端的电压与电源两端电压的关系",某实验小组准备了如下实验器材:

    A.蓄电池组一个(电压为 6V)

    B.小灯泡两类规格(额定电压分别为 3.8V,3V)各若干个

    C.电压表三个(量程 0-3V,0-15V)

    D.开关一个,导线若干

    (1)、通过讨论,实验小组设计了如图甲所示的电路图,L1、L2 均选用额定电压为 3V 的小灯泡,由于实验前未明确 L1、L2 两端的电压大小,故电压表 V1、V2 的量程应选(选填"0-3V"或"0-15V"),待完成 L1、L2 电压值的初步测量后,最终选定 V1、V2 的量程;
    (2)、之后接入电压表 V,完成实物连线如图乙所示,经检查有一根导线连接错误,请你在应改动的导线上打"×",并用笔画线代替导线画出正确的接法; 
    (3)、正确连接电路后,闭合开关 S,发现 L1 不亮,V1 几乎不偏转,L2 过亮,V2 超量程,造成这一现象的原因可能是 L1 发生了 (选填"短路"或"断路");
    (4)、故障排除后,测量结果如下表所示,V2 的读数如图丙所示,请将相应的读数填入下表

    电压表

    V1

    V2

    V

    电压U/V

    2.6

    5.5

    (5)、结合上述测量结果,实验小组提出如下猜想:在实验误差允许的范围内,电源两端电压等于串联电路中用电器两端的电压之和,且用电器两端电压均分电源两端电压。你认为该猜想 (选填"可靠"或"不可靠"),理由是

四、简答与计算题(共5题)

  • 30. 蒸汽机发明以后,为了衡量蒸汽机做功的快慢,人们把蒸汽机与马匹进行比较,于是“马力”应运而生,后来“马力”作为功率的单位经常应用在工程技术领域。当蒸汽机1min捨高重物做4.41×104]的功时,蒸汽机做功的功率就是1“马力”。请用功率的公式计算回答,1“马力”等于多少瓦?
  • 31. 在一搅拌机的容器内装有质量m为0.5kg的水,把水加热到 70C后让其在室温下自动冷却.其温度随时间变化的关系如图所示.现开动电动搅拌机对该已冷却的水不停地搅拌,电动机的功率P=900W,其做的功有80%转化为水的内能.若不考虑容器的内能变化,水最终的温度是多少℃?

  • 32. 某款纯电新能源汽车进行道路测试,以72km/h的速度匀速直线行驶,共持续行驶10min,行驶时汽车所受阻力为600N,其电动机工作的效率为80%。求:
    (1)、汽车行驶的路程s;
    (2)、汽车牵引力做的功W
    (3)、电动机消耗的电能W
  • 33. 小亮看到如图所示的阳光健身海报,决定每天放学回家由乘电梯改为爬楼梯。查阅资料知道,人运动所需的能量可来源于体内脂肪“燃烧”释放的化学能,1g脂肪完全“燃烧”释放的能量为3.8×104J(即可看作脂肪的热值q=3.8×104J/g)。若小亮的质量为60kg,家住11楼,每层楼高为3m。(g取10N/kg)

    (1)、求小亮所受的重力
    (2)、小亮每次乘电梯从1楼到11楼回家,若电梯匀速运行,求电梯对他做的功。
    (3)、若小亮每次爬楼梯回家消耗脂肪的质量为5g,求脂肪完全“燃烧”放出的能量。
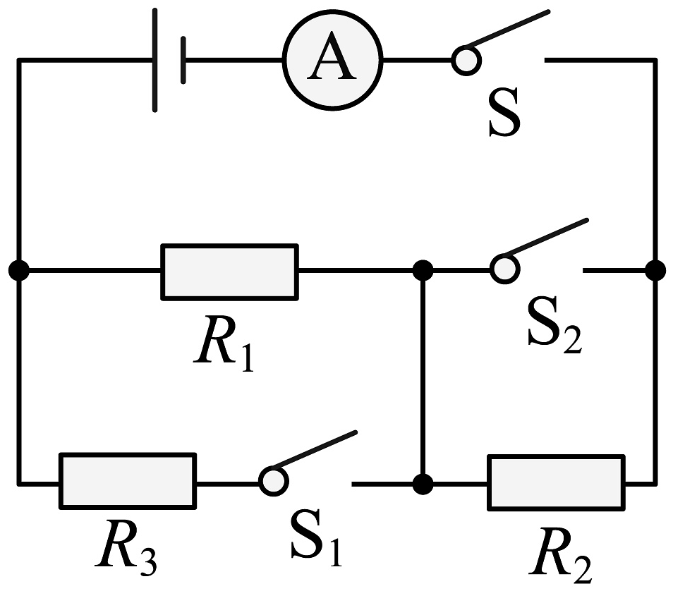
  • 34. 在如图所示的电路中,电源两端电压U=6V并保持不变,请计算:

    (1)、当闭合开关S、S2时,电阻R1两端的电压和通过电阻R2的电流分别是多少?
    (2)、当开关S闭合,S1S2断开时,电阻R1两端电压为2V,电阻R2两端的电压是多少?
    (3)、当开关S、S1S2都闭合时,电流表A的示数为1A,通过电阻R1的电流为0.4A,则通过R3的电流是多少?