浙教版(新教材)八上 3.2 物质的导电性 同步练习

试卷更新日期:2025-09-23 类型:同步测试

一、选择题

  • 1. 铅笔是我们常用的学习用具(如图所示)。下列关于铅笔的说法正确的是(  )

    A、铅笔芯是绝缘体 B、木质杆是绝缘体 C、金属套是绝缘体 D、橡皮擦是导体
  • 2. 如图所示是一种输电导线——铜芯电缆。在某村输电线路改造工程中,更换的新铜芯电缆比等长的旧铜芯电缆电阻更小,主要是因为新电缆的

    A、铜芯更细 B、铜芯更粗 C、绝缘皮更薄 D、绝缘体更厚
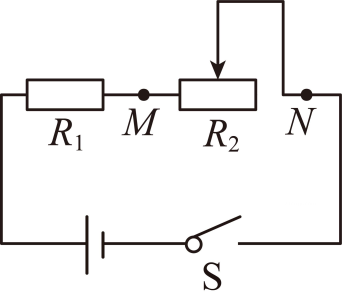
  • 3. 如图所示,图乙为滑动变阻器的结构示意图,当滑动变阻器的滑片 P 向左移动时,图甲中电流表的示数变小,则滑动变阻器串联接入电路的接线柱是(   )

    A、C和D B、A 和B C、C和 B D、A 和 D
  • 4. 根据电路图连接实物图是一项重要的实验技能。下列选项中滑动变阻器的连接方式与电路图相对应的是 ( )

    A、 B、 C、 D、
  • 5. 某同学利用如图所示装置探究影响铅笔芯电阻大小的因素,闭合开关,保持A 夹不动,移动 B 夹,发现电流表示数发生改变。此现象反映了影响铅笔芯电阻大小的因素是()

    A、长度 B、温度 C、材料 D、横截面积
  • 6. 在音量可调的音响中有一种旋钮式变阻器。其内部构造如图所示,图中 A、B、C三个焊接点是变阻器的三个接线柱。现需要将其接入电路,要求旋钮触片顺时针旋转时,接入电路的电阻变大,则需要将哪两个接点接入电路

    A、A和B  B、A和C C、C和B D、C和AB中的任一个
  • 7. 如图所示的钨丝是将一个白炽灯去除玻璃罩制成的。闭合开关S,小灯泡L发光,钨丝不发光;向钨丝吹冷气时,小灯泡L变亮;用酒精灯给钨丝加热,小灯泡L逐渐变暗直至熄灭。由实验可知(     )

    A、钨丝不发光是因为此时没有电流通过 B、向钨丝吹冷气时,钨丝电阻变小 C、给钨丝加热时,电路中的电流变大 D、加热时通过钨丝的电流大于通过小灯泡L的电流
  • 8. 装置如图所示电路中,金属板M与N之间夹着一滴水银,当两金属板互相靠近一些时,电路中电流表的示数将(    )

    A、变大 B、变小 C、不变 D、无法判断
  • 9. 关于导体和绝缘体,下列叙述中正确的是 (  )
    A、导体都是靠正电荷的定向移动来导电的 B、绝缘体不易导电是因为绝缘体内没有电荷存在 C、酸碱盐的水溶液中没有自由移动的电荷 D、铜导线是靠自由电子导电,铜原子是由带正电的原子核和带负电的电子构成的
  • 10. “乐思”小组在学习使用滑动变阻器的实验中,连接了如图所示的电路。下列分析正确的是 ( )

    A、若M接C点,N接D点,滑动变阻器与灯泡并联 B、连接电路时,若M接C点,N接B点, 闭合开关前,滑片P应移动到最左端 C、若M接C点,N接B点, 闭合开关,滑片P向右移,灯泡变暗 D、若M接C点,N接D点, 闭合开关,滑片P向右移,灯泡变暗
  • 11. 某精密电子仪器为了便于调节电路中的电流,其调节部分使用了两个滑动变阻器,如图所示。已知这两个滑动变阻器是分别用不同的电阻丝绕在相同的绝缘瓷管上制成的,其中 R1的总电阻是200欧, R2的总电阻是5000欧,开始时两变阻器都处于最大阻值处。下列方法中,能够既快又准确地使电流表指针指到要求位置的是(    )

    A、先调节 R1, , 使电流表指针指到要求位置附近,再调节, R2 B、先调节 R2, , 使电流表指针指到要求位置附近,再调节 R1 C、同时调节 R1和 R2, , 使电流表指针指到要求位置 D、交替、反复调节 R1和 R2, , 使电流表指针指到要求位置
  • 12. 如图是一种自动测定油箱内油面高度的装置示意图, R'是一种特制的滑动变阻器,AOB是一根可绕O点转动的金属导体,从油量表(即电流表)指针所指的刻度知道油面高度,则它的工作过程是 (  )。

    A、油面升高, R''变大,油量表示数变小 B、油面降低, R'变大,油量表示数变大 C、油面升高,R'变小,油量表示数变大 D、油面降低,R'变小, 油量表示数变大
  • 13. 如图是一种电风扇中用于调风速的电位器结构图,a、b、c是它的三个接线柱,a、c分别与弧形电阻丝的两端相连,b与金属滑片相连,转动旋钮,通过改变接入电路中电阻丝的长度来改变风扇风速,下列分析正确的是 (  )

    A、若将a、c接入电路中,逆时针转动旋钮时,风扇风速加快 B、若将a、c接入电路中,顺时针转动旋钮时,风扇风速减弱 C、若将a、b接入电路中,顺时针转动旋钮时,风扇风速加快 D、若将b、c接入电路中,顺时针转动旋钮时,风扇风速加快
  • 14. 为了探究物质的导电性,某同学利用一只废旧的白炽灯进行了如下实验:在甲图中,闭合开关S后,点燃酒精灯加热白炽灯的灯丝,小灯泡L的亮度慢慢变暗了;而在乙图中,闭合开关S后,用酒精灯加热废灯泡灯芯的玻璃柱至红热,小灯泡L慢慢变亮了。关于该实验下列说法不正确的是(    )

    A、甲图实验说明灯丝是导体,它的电阻会随温度的升高而减小 B、乙图实验说明玻璃是绝缘体,加热后变成了导体 C、甲乙两图实验说明导体和绝缘体并不是绝对的,一定条件下会发生改变 D、本实验通过观察小灯泡的亮暗来判断物质的导电性,应用的科学方法是转换法
  • 15. 小明用如图所示的器材,探究“影响电阻大小的因素”,a、b为长度一样的镍铬合金丝,b比a的横截面积大,关于此实验,下列说法正确的是(      )

    A、小灯泡越亮,表示接入的合金丝电阻越大 B、利用此装置只能探究导体电阻大小和横截面积的关系 C、利用此装置能探究导体电阻大小和横截面积、材料的关系 D、为了准确比较两条合金丝的电阻,可在电路中串联一个电流表
  • 16. 如图所示是光感式烟雾报警器的原理图。光源发出光,在没有烟雾时沿直线传播,有烟雾时光会散射到光敏电阻上,且烟雾浓度越大,光敏电阻接收光的强度越强,光敏电阻的阻值变得越小,当通过蜂鸣器的电流达到一定值就会发出报警声。若要提升报警器对烟雾的敏感性,下列措施可行的是

    A、降低电源电压 B、减弱光源发光强度 C、在电路中再串联一个定值电阻 D、将滑动变阻器滑片 P向a端滑动

二、填空题

  • 17. 如图所示的两导体是由同种材料组成的,且长度相等,如图接入电路中, 则 R1R2 ,  I1I2(选填“>”、“<”或“=” ) 。

  • 18. 如图所示的实验装置,酒精灯点燃前,闭合两开关,看到的现象是电流表甲(填“有”或“无”)示数, 电流表乙(填“有”或“无”)示数。点燃酒精灯,在加热过程中,你会发现:电流表甲示数(填“变大” “不变”或“变小”),此现象说明;电流表乙示数(填“变大” “不变”或“变小”),此现象说明

  • 19. 为减少碳排放,我国大力推行电动汽车。电动汽车中电动机的转速由电流大小控制,工作原理如图。利用旋钮变阻器实现对转速的控制,图中O<E、F是它的三个接线柱。

    (1)、变阻器上旋钮滑片的材料应选用(选填“导体”或“绝缘体”)。
    (2)、车速仪由电流表改装,驾驶员踩下“油门”,旋钮滑片逆时针转动,此时车速仪示数变大。若P接O,那么Q应接的接线柱是(选填“E”或“F”)。
  • 20. 某同学制作了如图所示的装置来模拟调光灯。试分析回答: 

     

    (1)、实验中,金属夹可以在铅笔芯上左右移动,则铅笔芯、金属夹等组成的装置相当于 (写一种电路元件)。 
    (2)、当向左移动金属夹时,电路中的电流将变大,这一看不见的变化可由看得见的现象来呈现,这里的“看得见的现象”是指 。 
  • 21.  小明用如图甲所示的电路探究“影响电阻大小的因素”,图乙是备用的几种导体(A、B、C、D代表导体,s代表导体的横截面积)。请你回答以下问题:

    (1)、为了探究导体的电阻与导体长度的关系,M,N之间应接入图乙中的(选填导体的代表字母)。该实验运用的科学方法有
    (2)、若在M,N之间接入导体A,B可探究导体的电阻与的关系。
    (3)、实验中,如果接入M,N之间的导体电阻阻值比较接近而无法通过灯泡的亮暗判断电阻大小,你的解决办法是

三、实验与探究题

  • 22. 小明想利用容器中的食盐水来探究导体的电阻与哪些因素有关。他用长方体水槽、一定浓度的食盐水、电源、滑动变阻器、电压表及电流表等器材进行了探究。实验电路连接如图所示,将电极 M、N分别固定在水槽左右两侧的底部。

    (1)、闭合开关,读出电流表和电压表的示数,继续向水槽中添加一定量相同浓度的食盐水,调节滑动变阻器的滑片,使电压表示数保持不变。观察到电流表的示数变大,可知容器中食盐水的电阻(填“变大”“变小”或“不变”)。从而得出结论:导体的电阻与导体的有关。
    (2)、小明再次向水槽中加入一定量的水,降低水槽内食盐水的浓度,结果发现水槽内食盐水的电阻减小,由此得出“食盐水的浓度越低,电阻越小”的结论。你认为这个结论应该是(填“可靠”或“不可靠”)的,原因是
    (3)、其他条件不变,改变电极 MN 之间的距离,小明还能够得出结论:导体的电阻与导体的有关。
  • 23. 图1是研究“影响导体电阻大小的因素”的实验装置。实验中用四根电阻丝作被测导体,将电阻丝两端接入电路后,调节滑动变阻器,进行测量并记录,数据记录于下表。

    实验组

    电阻丝

    材料

    长度(厘米)

    直径(毫米)

    电流(安)

    1

    a

    康铜丝

    57.20

    0.50

    待填

    2

    b

    镍铬丝

    57.20

    0.50

    0.14

    3

    c

    镍铬丝

    57.20

    0.70

    0.26

    4

    d

    镍铬丝

    28.60

    0.70

    0.54

    请回答:

    (1)、连接好电路闭合开关前,滑动变阻器的滑片应处于(选填“最左端”或“最右端”)
    (2)、将电阻丝a两端接入电路,闭合开关,电流表指针位置如图2所示,其示数为安。
    (3)、本实验中滑动变阻器除了“保护电路”这一作用外,还有的作用。
    (4)、为研究导体电阻大小与横截面积的关系,可选择电阻丝进行对比。(填字母)
  • 24. 如图甲是研究“影响导体电阻大小的因素”的实验装置。实验中用四根电阻丝作被测导体,将电阻丝两端接入电路后,通过调节滑动变阻器,保持电阻丝两端电压相同,进行测量并记录,数据列于下表。

    实验组

    电阻丝

    材料

    长度(cm)

    直径(mm)

    电流(A)

    1

    a

    康铜丝

    57.20

    0.50

    0.32

    2

    b

    镍铬丝

    57.20

    0.50

    0.14

    3

    c

    镍铬丝

    57.20

    0.70

    0.28

    4

    d

    镍铬丝

    28.60

    0.70

    0.54

    (1)、本实验中通过观察电流表的示数大小来比较电阻的大小,采用的研究方法是法;
    (2)、为研究导体电阻大小与材料的关系,可选择实验组进行对比;
    (3)、实验得出,导体电阻大小与导体的材料、长度和横截面积有关。此外,导体的电阻还与温度有关。科学研究发现某种金属的电阻和温度的关系如图乙所示。请描述该金属的电阻在降温过程中的变化情况:
  • 25. 某兴趣小组的同学们用如图所示的液体电阻演示装置来“探究影响电阻大小的因素”。装置中的贮存容器内装有同种导电液体,通过调节可移动电极板可以改变注射器内导电液的长度。

    (1)、该装置中电阻R 的作用是
    (2)、该小组的同学们通过实验得到左边注射器中的电流与导电液柱长度的关系如表所示:

    L/ cm

    1

    2

    3

    4

    5

    I/mA

    4.2

    3.5

    3.0

    2.6

    2.3

    分析可知,液体的电阻和液柱长度的关系:在材料和横截面积相同时,

    (3)、当两个注射器中的液柱长度相同时,实验时发现 , 由此得到的结论:在材料和长度相同时,液体的横截面积越大,电阻越小。
    (4)、若小组同学还想探究液体的电阻和材料的关系,他们只需更换即可。